Reference
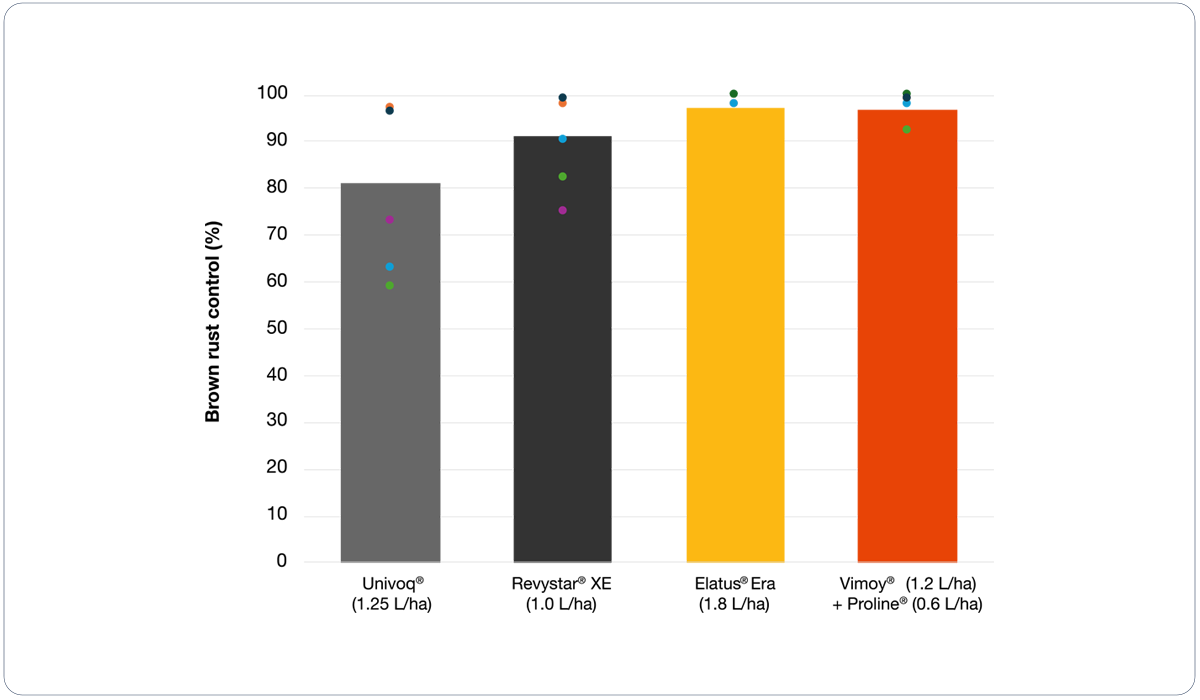
Bayer, 27 trials, 2021-23.
Septoria (T1):
7 trials, 2023. Septoria (T2): 5 trials, 2023. Yellow rust (T1): 9 trials, 2021-23. Brown rust (T2): 5 trials, 2021-23. Eyespot (T1): 1 trial, 2023. University of Nottingham. For eyespot values for Elatus® Era and Univoq® are derived from the prothioconazole component of the product as neither Solatenol® or fenpicoxamid have recognised activity against eyespot.
Note: Elatus® Era not included at T2 as it is not commercial practice to apply Solatenol® for control of Septoria tritici.
| T1 dose rates (L/ha) | Vimoy® (1.0) + Proline® (0.5) | Elatus® Era (0.7-0.8) | Revystar® XE (0.8) | Univoq® (1.0) |
|---|---|---|---|---|
| T2 dose rates (L/ha) | Vimoy® (1.2) + Proline® (0.6) | Elatus® Era (0.8) | Revystar® XE (1.0) | Univoq® (1.25) |
T1 targets - Leaf 3 assessments made as BBCH 65
T2 targets - Flag leaf assessments at BBCH 75




